구글/네이버/카카오

해외 구글광고는 왜 최소 3개월이 필요한가

2026.02.11 09:30
270
0
0
  • 한눈에 보는 핵심요약
  • 중요한 건 얼마나 썼느냐가 아니라, 그 시간 동안 무엇을 학습했고, 무엇을 분리했냐입니다. 이 차이를 이해하는 순간, 해외 구글광고는 비용이 아니라 자산이 됩니다.

안녕하세요? 해외마케팅을 설계하고 분석하는 바름입니다.

해외 시장을 타겟으로 구글광고를 시작한 기업들이 가장 자주 하는 말이 있습니다.

 

“몇 달 집행해봤는데, 생각보다 성과가 안 나옵니다.”

 

하지만 이 말은 대부분 구글광고가 실패해서가 아니라, 너무 이른 시점에 판단했기 때문에 나옵니다.

2025년 7월과 12월 구글 검색광고 데이터는 이 사실을 아주 명확하게 보여줍니다.

 

 

1. 7월과 12월은 ‘성과 비교’가 아니라 ‘단계 비교’다

 

먼저 분명히 해야 할 점이 있습니다.

7월과 12월은 좋고 나쁨을 비교할 달이 아닙니다.



7월은 성과의 달이 아니라 학습의 달

출처 : 월간보고서 내용 일부 발췌

7월의 구글광고는 다음과 같은 특징을 보였습니다.


(1) 전환수 증가

(2) 전환율 개선

(3) 클릭당 비용(CPC) 절감


겉으로 보면 “이미 잘 되고 있는 광고”처럼 보일 수 있지만, 실제 의미는 다릅니다.

이 시점의 핵심은 성과가 아니라 ‘구조가 보이기 시작했다’는 점입니다.


어떤 국가가 클릭을 만드는지?

어떤 국가는 싸지만 전환이 없는지?

어떤 연령대가 실제 행동으로 이어지는지?

 

즉, 7월은 구글 머신러닝에게 ‘어떤 조건이 의미 있는지 가르치는 단계’였습니다.


 

12월은 운영 안정화와 전략 집행 단계

 

 

출처 : 월간보고서 내용 일부 발췌

 

12월 데이터를 보면 숫자 흐름이 완전히 달라집니다.

 

(1) 노출수는 감소

(2) 클릭수는 감소

(3) 클릭률(CTR)은 크게 상승

(4) 전환당 비용은 안정화

 

이 변화는 결코 “광고가 약해졌다”는 신호가 아닙니다.

오히려 구글광고가 가장 정상적으로 작동하기 시작했다는 신호입니다.

불필요한 노출을 줄이고, 전환 가능성이 높은 사용자에게만 노출되는 구조로 전환된 것입니다.




2. 노출이 줄었는데 CTR이 2배가 됐다는 말의 의미


12월 데이터에서 가장 많은 오해를 부르는 지표는 바로 이것입니다.


노출수 감소

클릭률 대폭 상승

 

이걸 단순하게 해석하면 이렇게 생각하기 쉽습니다.


“광고 볼 사람이 줄어든 거 아닌가요?”

 

하지만 해외 구글광고에서는 이 현상이 오히려 ‘광고가 성숙 단계에 들어갔다’는 명확한 신호입니다.



왜 이런 일이 벌어질까?

구글은 학습이 쌓이면 전환 가능성이 낮은 검색어·국가·사용자에게 광고를 덜 보여줍니다.

대신 클릭과 행동 가능성이 높은 조건에만 광고를 집중시킵니다.

그 결과 광고는 덜 보이지만, 보는 사람은 훨씬 정확해지고 클릭은 ‘의미 있는 클릭’만 남게 됩니다.

이 시점부터 광고는 마케팅 도구가 아니라 ‘선별된 영업 채널’이 됩니다.




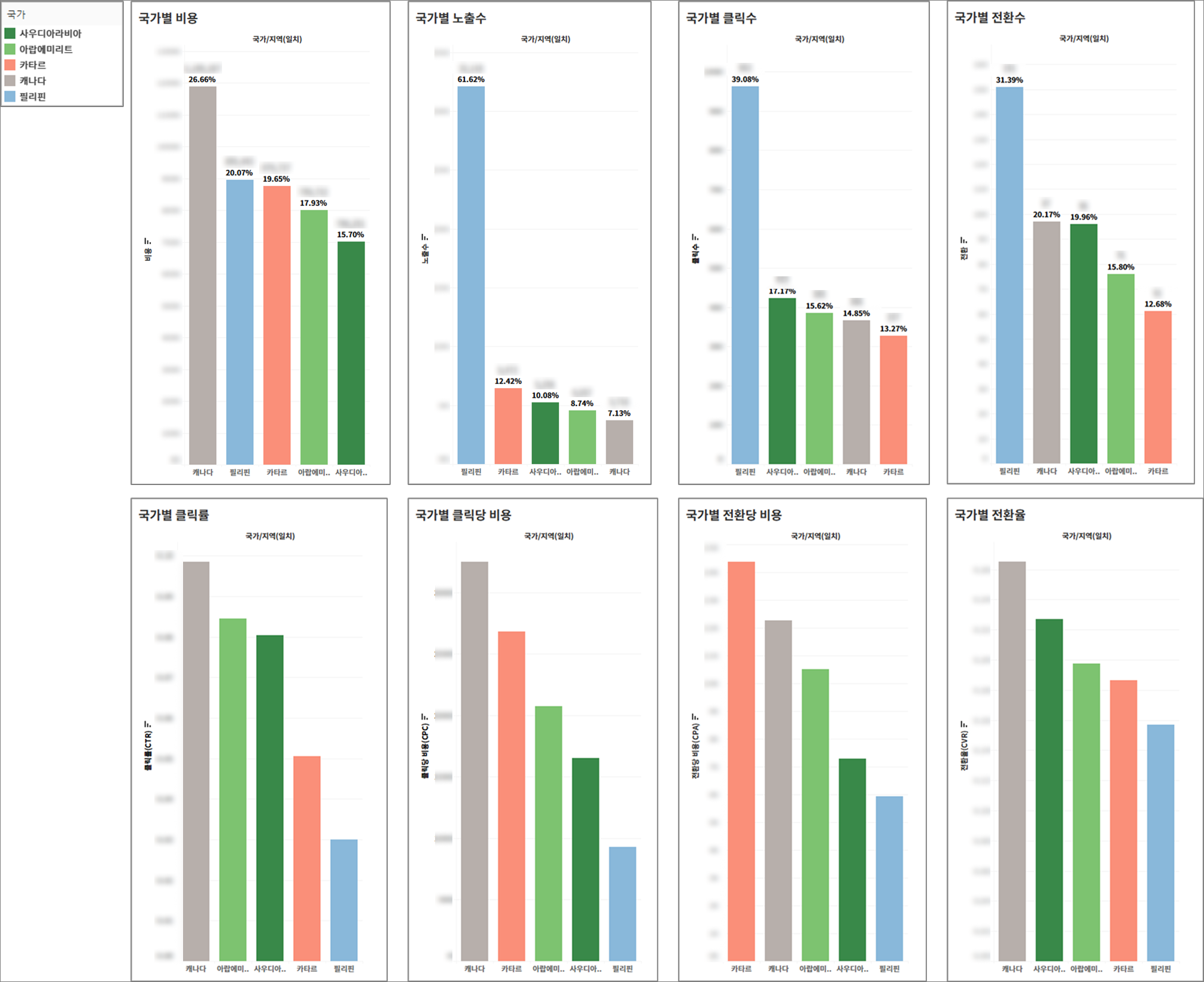
3. 국가 전략이 ‘가설’에서 ‘확정’으로 바뀐 과정


7월, 가능성을 보는 단계

7월 데이터에서는 국가별 특징이 이렇게 나뉘었습니다.

 

필리핀 : 클릭 비용이 낮고 유입 효율이 높음

중동(UAE, 사우디) : 전환 효율이 상대적으로 높음

카타르 : 효율이 낮아 재검토 필요

 

이 단계의 국가 분석은 이정도 수준이었습니다.

 

 

12월, 전략 국가가 확정되는 단계

12월에는 판단 기준이 달라집니다.


필리핀 : 전환 비용 효율 1위, 문의량 상위권

중동(UAE, 사우디) : 전환율·클릭률·문의량 모두 상위

국가별 예산도 ‘노출 기준’이 아닌 문의 내용과 질 기준으로 유지

 

이 시점부터 해외 구글광고는 이렇게 바뀝니다.


“어디가 싸냐” ❌

“어디서 실제 문의가 오느냐”

 

이 차이를 이해하지 못하면 해외 광고는 끝없이 비용만 드는 광고로 남게 됩니다.

 


출처 : 월간보고서 내용 일부 발췌



4. 연령 데이터가 말해주는 해외 B2B 구매 구조

7월과 12월 데이터를 함께 보면 흥미로운 흐름이 하나 보입니다.


출처 : 월간보고서 내용 일부 발췌

25~34세 : 전환 효율·전환율 상위

35~44세 : 전환수·클릭률 상위

 

이 조합은 해외 B2B 시장에서 매우 전형적인 구조입니다.


검색은 실무자가 먼저 하고, 결정은 더 높은 연령대에서 이뤄진다

 

이 데이터를 바탕으로 랜딩페이지의 정보 깊이, 콘텐츠 신뢰 요소, 문의 UX 구조를 설계하지 않으면, 광고 성과는 어느 순간 정체됩니다.




5. 7월에 발견한 문제가 12월에는 ‘전략 자산’이 되다

 

7월 보고서에서는 이런 현상이 관찰됐습니다.


출처 : 월간보고서 내용 일부 발췌

 

(1) 문의 버튼 반복 클릭

(2) 전환 단계 간 수치 역전

 

많은 기업이 이 상황에서 이렇게 판단합니다.


“광고가 이상하다.”

 

하지만 실제 의미는 정반대입니다.

광고가 충분히 관심 있는 사용자를 데려왔기 때문에, 사용자가 고민하고 망설였다는 증거입니다.

 

12월에는 이 데이터를 바탕으로, 전환 퍼널 점검, 문의 기준 재정의 ‘양보다 질’ 중심의 운영 판단으로 이어졌고, 광고는 단순 유입 수단이 아니라 해외 영업 구조의 일부가 되었습니다.




6. 이 사례가 말해주는 해외 구글광고의 본질

 

7월, 12월 데이터가 말해주는 결론은 단순합니다.


해외 구글광고는 ‘빨리 성과를 내는 도구’가 아니라 ‘시간이 쌓일수록 정확해지는 전략 자산’이다.

1~2개월 만에 판단하면 효과 없는 광고로 최소 3개월 이상 운영하면 국가, 연령, 키워드, 문의 질 기준의 전략이 만들어진다.

 

해외 구글광고에서 가장 위험한 선택은 “조금 해보고 판단하는 것”입니다.

중요한 건 얼마나 썼느냐가 아니라, 그 시간 동안 무엇을 학습했고, 무엇을 분리했냐입니다.

이 차이를 이해하는 순간, 해외 구글광고는 비용이 아니라 자산이 됩니다.

 

오늘도 긴 글 읽어주셔서 감사합니다.

바름의 서비스에 대한 내용은 아래의 홈페이지에서 확인해주세요.  

바름 홈페이지


[함께 읽으면 좋은글]

🏷️일본 마케팅의 핵심은 플랫폼과 소비자의 이해

🏷️ 2025 구글애즈 아카데미 요약  

#구글광고 #해외광고 #디지털광고 #구글 #해외마케팅
이 콘텐츠가 도움이 되셨나요?
이 글에 대한 의견을 남겨주세요!
서로의 생각을 공유할수록 인사이트가 커집니다.
광고

    추천 콘텐츠